Упр.90 ГДЗ Дорофеев Суворова 8 класс (Алгебра)
Решение #1

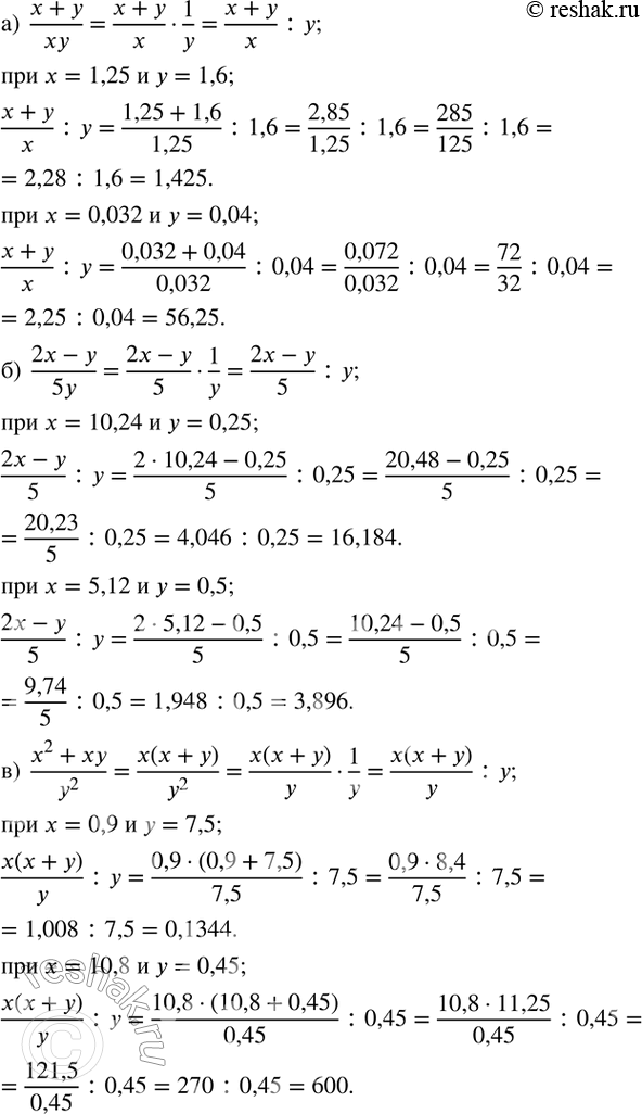
Рассмотрим вариант решения задания из учебника Дорофеев, Суворова, Бунимович 8 класс, Просвещение:
90. Найдите с помощью калькулятора значение выражения:
а) (x+y)/xy при x=1,25 и y=1,6; при x=0,032 и y=0,04;
б) (2x-y)/5y при x=10,24 и y=0,25; при x=5,12 и y=0,5;
в) (x^2+xy)/y^2 при x=0,9 и y=7,5; при x=10,8 и y=0,45.
*размещая тексты в комментариях ниже, вы автоматически соглашаетесь с пользовательским соглашением