Упр.602 ГДЗ Колягин Ткачёва 11 класс (Алгебра)
Решение #1
Решение #2

Рассмотрим вариант решения задания из учебника Колягин, Ткачёва, Фёдорова 11 класс, Просвещение:
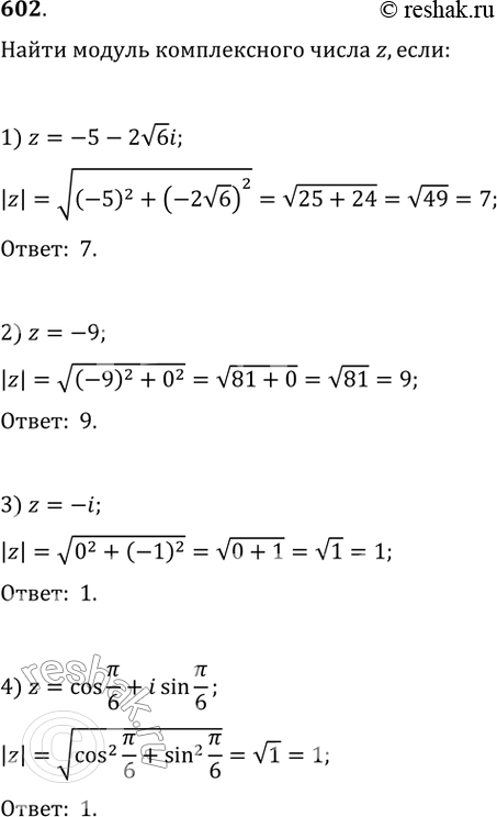
602. Найти модуль комплексного числа z, если:
1) z = —5 — 2 корень 6i;
2) z =-9;
3) z = -i;
4) z = cos пи/6 + isin пи/6.
*размещая тексты в комментариях ниже, вы автоматически соглашаетесь с пользовательским соглашением