Упр.42.28 ГДЗ Мерзляк 10 класс Базовый уровень (Алгебра)
Решение #1

Рассмотрим вариант решения задания из учебника Мерзляк, Номировский, Полонский 10 класс, Вентана-Граф:
42.28. Вычислите значение выражения:
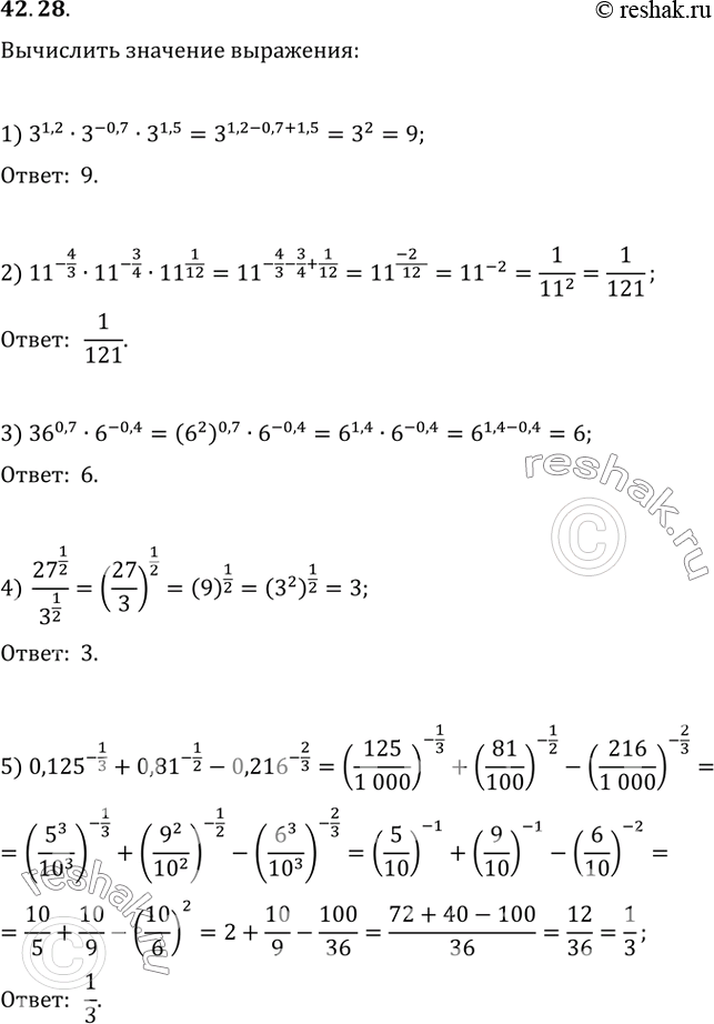
1) 3^(1,2)·3^(-0,7)·3^(1,5);
2) 11^(-4/3)·11^(-3/4)·11^(1/12);
3) 36^(0,7)·6^(-0,4);
4) (27^(1/2))/3^(1/2);
5) 0,125^(-1/3)+0,81^(-1/2)-0,216^(-2/3);
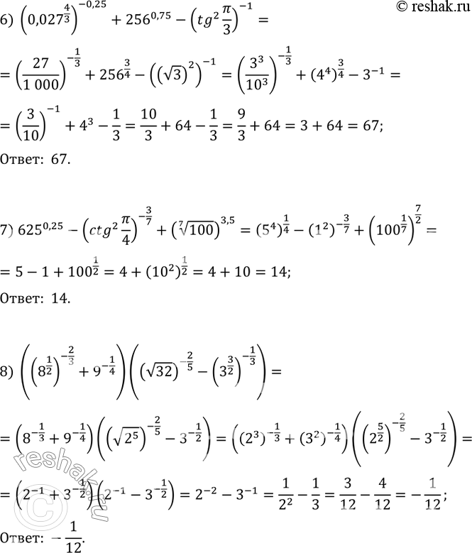
6) (0,027^(4/3))^(-0,25)+256^(0,75)-(tg^2(?/3))^(-1);
7) 625^(0,25)-(ctg^2(?/4))^(-3/7)+(100^(1/7))^3,5;
8) ((8^(1/2))^(-2/3)+9^(-1/4))((v32)^(-2/5)-(3^(3/2))^(-1/3));
9) (9^(1/4)-(0,5((0,5)^(1/3)))^(-0,75))(81^(0,125)+(cos^2(?/4))^(-1));
10) (4^0,25+((sin(?/6))^(-1,5))^(-4/3))(4^(1/4)-(2v2)^(-4/3)).
*размещая тексты в комментариях ниже, вы автоматически соглашаетесь с пользовательским соглашением