Упр.35.10 ГДЗ Мерзляк 10 класс Базовый уровень (Алгебра)
Решение #1

Рассмотрим вариант решения задания из учебника Мерзляк, Номировский, Полонский 10 класс, Вентана-Граф:
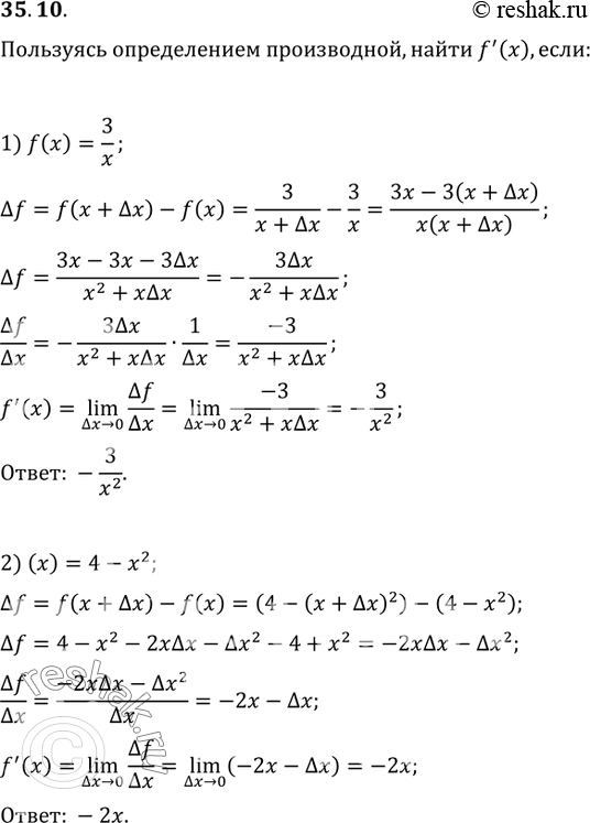
35.10. Пользуясь определением производной, найдите f'(х), если:
1) f(x)=3/x; 2) f(x)=4-x^2.
*размещая тексты в комментариях ниже, вы автоматически соглашаетесь с пользовательским соглашением