Упр.30.13 ГДЗ Мерзляк 10 класс Базовый уровень (Алгебра)
Решение #1

Рассмотрим вариант решения задания из учебника Мерзляк, Номировский, Полонский 10 класс, Вентана-Граф:
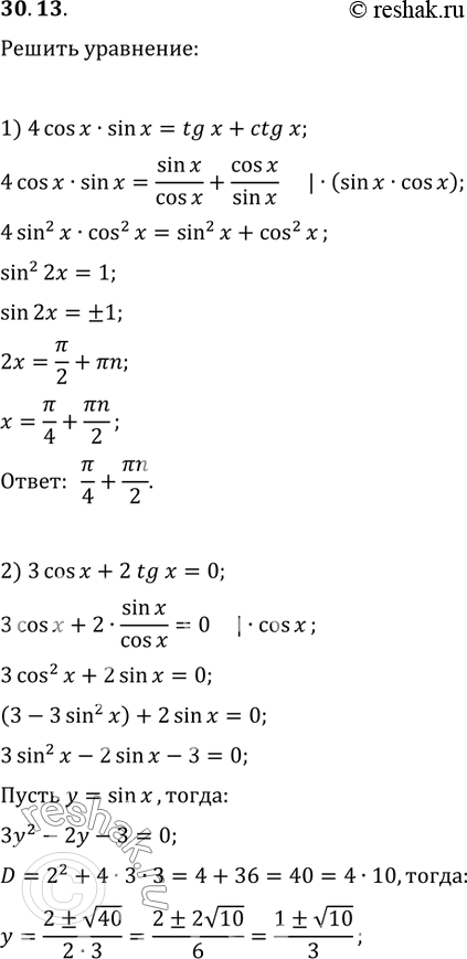
30.13. Решите уравнение:
1) 4cos(x)sin(x)=tg(x)+ctg(x);
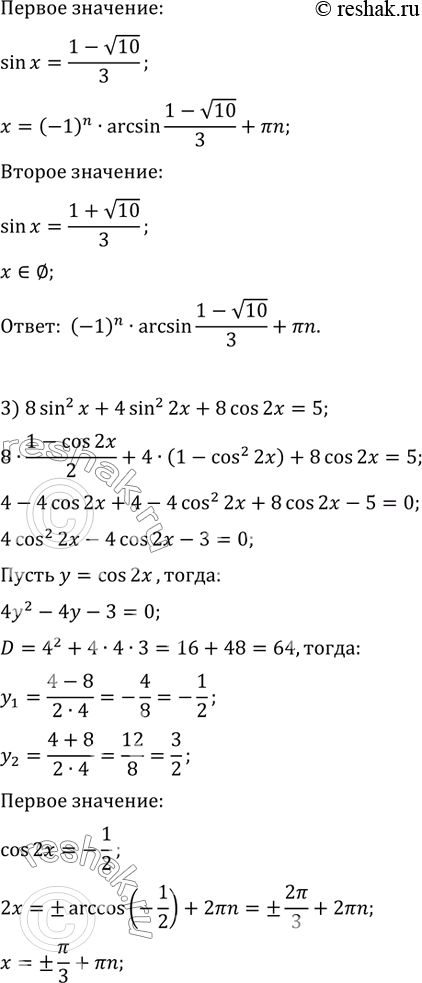
2) 3cos(x)+2tg(x)=0;
3) 8sin^2(x)+4sin^2(2x)+8cos(2x)=5;
4) 3+5cos(x)=sin^4(x)-cos^4(x);
5) cos(2x)-9cos(x)+6=4sin^2(x/2).
*размещая тексты в комментариях ниже, вы автоматически соглашаетесь с пользовательским соглашением