Упр.23.28 ГДЗ Мерзляк 10 класс Базовый уровень (Алгебра)
Решение #1

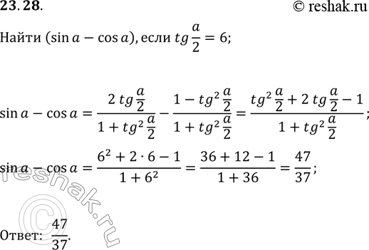
Рассмотрим вариант решения задания из учебника Мерзляк, Номировский, Полонский 10 класс, Вентана-Граф:
23.28. Дано: tg(a/2)=6. Найдите sin(a)-cos(a).
*размещая тексты в комментариях ниже, вы автоматически соглашаетесь с пользовательским соглашением