Упр.18 ГДЗ Дорофеев Суворова 8 класс (Алгебра)
Решение #1

Рассмотрим вариант решения задания из учебника Дорофеев, Суворова, Бунимович 8 класс, Просвещение:
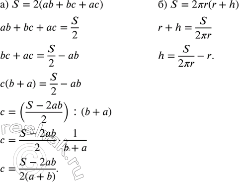
18. а) Площадь поверхности параллелепипеда можно найти по формуле S=2(ab+bc+ac) (рис.1.1). Выразите из этой формулы высоту параллелепипеда c.
б) Площадь поверхности прямого кругового цилиндра (рис. 1.2) можно найти по формуле S=2?r(r+h). Выразите из этой формулы высоту цилиндра h.
*размещая тексты в комментариях ниже, вы автоматически соглашаетесь с пользовательским соглашением