Упр.14.14 ГДЗ Мерзляк 10 класс Базовый уровень (Алгебра)
Решение #1

Рассмотрим вариант решения задания из учебника Мерзляк, Номировский, Полонский 10 класс, Вентана-Граф:
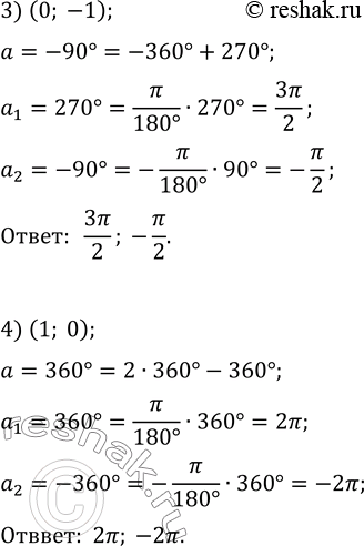
14.14. Запишите наименьший положительный и наибольший отрицательный углы, на которые надо повернуть точку P_0(1; 0), чтобы получить точку с координатами:
1) (0; 1); 2) (-1; 0); 3) (0; -1); 4) (1; 0).
*размещая тексты в комментариях ниже, вы автоматически соглашаетесь с пользовательским соглашением